Antidepressant use and cognitive decline
And the brain's gains
I often aim to write higher quality, knowledge-dense (hopefully) articles, where I connect a myriad of dots, still attempting to maintain some sort of consistent publication schedule. Sometimes I write self-indulging things, others about other subjects.
Today is one of those very rare moments when I write something extremely short, and to the point. In case you are not aware, I have been known to be an “SSRI” hater, even before knowing anything about medicine, I asserted this class of drugs was more harmful than helpful, based on my analytical framework, and large-scale observation. The more I learned, and researched the more assured I found myself.
In the article above, also short in nature, I covered a paper about how the use of SSRIs causes changes in an infant’s brain that last for years, and it was the first indication, for me that SSRI usage would cause neurodegeneration. Why ? Because of this paper, quote in my article.
SRI (fluoxetine) induced significant neurochemical abnormalities in the rat brain by increasing lipid peroxide (MDA), Interferon-gamma (IFN-γ), and caspase-3 levels and by depleting Glutathione (GSH), Glutathione S-transferases (GST), Catalase, potassium (K+), and Creatine kinase (CK) levels, similarly to what has been discovered in the PPA model of autism when compared with control. Prenatal fluoxetine exposure plays a significant role in asset brain damage in newborns; further investigation of fluoxetine as an autism risk factor is thus warranted.
In the paper referred to above, the author argues, based on their findings, thus scientific evidence that SSRI may (will in my opinion) influence the development of Autism Spectrum Disorder by somewhat drastic changes in brain chemistry. Caspase-3 is a main player in cell death, Interferon-Gamma should be a well-known protein for any of my readers by now, given its main role in the Kynurenine Pathway, along with other immune-mediated diseases and conditions.
Depletion of Glutathione, and its transferase means the brain can’t control oxidative stress, which cascades into poor control of potassium, calcium, zinc, and iron (poor control of these = neurological changes). But a “sleeper” finding should be the lowering of creatine kinase levels. Lower levels of CK cause impaired neurological energy metabolism, which is the cornerstone of neurological and cellular health. To the paper in question.
Antidepressant use and cognitive decline in patients with dementia: a national cohort study
Results
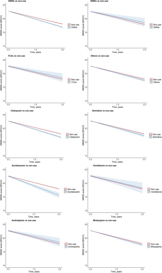
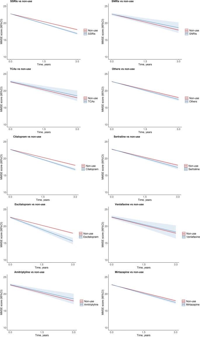
We included 18740 patients (10 205 women [54.5%]; mean [SD] age, 78.2[7.4] years), of which 4271 (22.8%) received at least one prescription for an antidepressant. During follow-up, a total of 11912 prescriptions for antidepressants were issued, with selective serotonin reuptake inhibitors (SSRI) being the most common (64.8%). Antidepressant use was associated with faster cognitive decline (β (95% CI) = − 0.30(− 0.39, − 0.21) points/year), in particular sertraline (− 0.25(− 0.43, − 0.06) points/year), citalopram (− 0.41(− 0.55, − 0.27) points/year), escitalopram (− 0.76(− 1.09, − 0.44) points/year), and mirtazapine (− 0.19(− 0.34, − 0.04) points/year) compared with non-use. The association was stronger in patients with severe dementia (initial MMSE scores 0–9). Escitalopram showed a greater decline rate than sertraline. Compared with non-use, dose response of SSRIs on greater cognitive decline and higher risks of severe dementia, all-cause mortality, and fracture were observed.
Conclusions
In this cohort study, current antidepressant use was associated with faster cognitive decline; furthermore, higher dispensed doses of SSRIs were associated with higher risk for severe dementia, fractures, and all-cause mortality. These findings highlight the significance of careful and regular monitoring to assess the risks and benefits of different antidepressants use in patients with dementia.
I will skip some of the author’s wrangling data interpretation, because similar to a few other research avenues, either you can’t directly criticize or simply won’t because of the size of the industry (and SSRIs are an insanely big industry, valued at 18.7 billion last year alone…).
Different drugs have different rates of decline, and there is a (small) room for argument if the cause of the cognitive decline or acceleration isn’t caused by the disease (depression) itself, rather than the treatment, but the evidence, especially interdisciplinary is quite telling. An interesting variable that jumped to my eyes in the abstract alone was the increased number of fractures with higher dosages.
Dementia is intrinsically related to how well your brain uses and transports energy primarily, and secondarily, fluid dynamics, how well blood and liquid flows, especially out of the brain. Dementia patients have an increased risk of falls and fractures. How does vascular health intersect with SSRIs ?
By modulating Serotonin, a major component of platelets, and chronic use of the SSRI Fluoxetine will enhance atherosclerosis (clogging up of blood vessels). Cardiovascular toxicity induced by SSRIs. In fact and per my standing interest in the microstructures of the body, the use of SSRI can cause cerebromirovascular dysregulation, the precise one that is easy to miss and contributes the most to neurodegeneration in a few decades.
Do SSRIs have a use and a place ? Yes, certainly, but not for depression, anxiety or anything related to the Serotonin hypothesis, which will fall down in scientific history as one of the biggest farses as the “amyloid - Alzheimer’s” hypothesis. If you start breaking down the metabolic, and immunological pathways that participate or directly influence psychological conditions, you will get a sense of deja vu, because they will often appear very similar to many of the neurological pathways I covered in regards to SARS-CoV-2.
In fact, my “Covid stack” was primarily a suggested supplementation to treat depression and anxiety, that is how similar the pathways were even merely 6 months into the pandemic. To drive this point at home.
Single dose creatine improves cognitive performance and induces changes in cerebral high energy phosphates during sleep deprivation
Our results show that creatine induces changes in PCr/Pi, ATP, tCr/tNAA, prevents a drop in pH level, and improves cognitive performance and processing speed. These outcomes suggest that a high single dose of creatine can partially reverse metabolic alterations and fatigue-related cognitive deterioration.
A single large dose of creatine improves cognitive performance, significantly improves "brain energy” and somewhat counteracts the horrible effects of sleep deprivation, improving cognitive performance and processing speed exceeding wake baseline. Creatine is so good it enhances the effect of antidepressants.
First, do not under any circumstances quit SSRIs cold turkey, the brain is the most resilient (also the biggest nutrient-glutton) organ in the body. Here mind over body, and body helping mind are necessary. Exercise, even walking, jogging, or yoga in good intensity are effective in helping, sometimes treating depression. Grounding, being barefoot in nature or somewhere outside is an amazing way to control, and lower many inflammatory markers, bring hormonal balance, and help with mood disorders.
Some people need to address the causes, be it trauma, or stress, which is the biggest, single, largest contributor to almost every human disease, especially over the long-term or any other cause. Self-reflection, and especially journaling helps tremendously.
Lastly, and the obvious citation, supplementation and this is where it gets complicated. Gut health is intrinsically connected to neurological health, but overall, significant symptom improvement, sometimes achieving “normalcy” can be achieved by exercise and supplementation. Focus on antioxidation, mitochondrial health, and brain health are central to getting off SSRI.
Creatine. Taurine. Choline. Thiamine. Exercise. Grounding. Go from there.
If you have been supporting my work, or decide to start now, thank you !







Impromptu article, not meant to be super extensive, or detailed, just decided to add a few things to drive my overall point at home.
Yes, I like different types of notebooks but I don't own a ton lol, I just like adding them sometimes. =) although I am a big heavy proponent of writing and doing things on paper, better for your brain.
This is a short article?? Coulda fooled me. :-)
Something else to add into your depression issue. In 1976 or 1977, I had all four of my wisdom teeth removed. All four proceeded to get infected and by late 1978 I almost died from depression, sleeping 16 hours a day. I did *not* know all of that suffering was due to infected sockets until 2013 and only a few weeks ago did I have a good oral surgeon remove the infections. This time the sockets appear to be healing without reinfection. In the first five years after the four teeth were removed in 1977, the toxins from these hidden infections had severe systemic effects, causing very high inflammation, high ESR test results, systemic pain that was relieved only via biofeedback, severe depression, and more. I became allergic to everything other than blueberries for the first five years, and I only started to recover by going on a rotation diet in 1983.
Dental work can cause severe harm when done improperly. Anyone with depression or any chronic illness should do a full dental workup, get all metal out of the mouth (replace with ceramic and zirconia), and get a thermographic scan to look for hot infections in the jaw. If you have root canaled teeth, they must be removed, as they *always* get infected with standard techniques. Root canal infections can cause heart disease and heart attacks directly.
Improper dental work is a yuuuuge problem affecting hundreds of millions if not billions of people. Your entire article, all long covid, and so much more can have as a significant influence or multiplier effect on any health problem. Virtually nobody understands this, nor how severe the problems can become. If you want good dental care or a proper workup, the best dentists I know of are generally associated with the https://iaomt.org worldwide group.